MÁQUINAS TERMICAS

Continuando con el primer y segundo principio de la termodinámica, hoy explicaremos el uso de las máquinas térmicas.
Las máquinas térmicas son aquellas que transforman calor, es decir, energía térmica, en energía mecánica.
IDEA DEL FUNCIONAMIENTO DE LAS MÁQUINAS TÉRMICAS
Anteriormente vimos que al transformar trabajo mecánico en calor 427 kgm se transforman en 1 kcal.
Veamos si el proceso inverso, es decir, transformar calor en energía mecánica, es posible. De acuerdo con la equivalencia establecida, ¿podemos transformar 1 kcal en 427 kgm?
En los motores de combustión interna y en las máquinas y turbinas de vapor, al quemar un combustible (nafta, gasoil, carbón) obtenemos calor que es transformado en energía mecánica.
En las máquinas térmicas parte del calor producido por la combustión se transforma en trabajo los gases quemados que salen por el escape están calientes, debido a que poseen parte del calor de la combustión y otra parte se emplea en vencer los rozamientos de las piezas móviles que componen el motor o la máquina. El calor de los gases de escape se elimina a través del radiador.
De lo que resulta que, al transformar calor en trabajo enfriando una fuente caliente, solamente un parte se transforma en trabajo mientras que otra parte de ese calor se emplea en calentar un cuerpo más frió. Es imposible construir un motor que transforme totalmente el calor en trabajo.
Cuando se transforma calor en energía mecánica, solamente una parte se transforma en trabajo. El resto del calor es cedido a temperatura más baja que la inicial,
Si Q1 es la cantidad de calor entregada por la combustión de la nafta y Q2 la cantidad de calor cedida, la cantidad de calor transformado en energía mecánica es:
Por lo que la energía mecánica obtenida es:
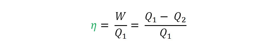
Se llama rendimiento η del motor, a la relación entre energía mecánica E obtenida y el calor Q1 entregado.
El calor se propaga espontáneamente de una fuente caliente a otra fría. Para que una maquina térmica transforme energía en trabajo debemos tener dos fuentes a distinta temperatura. La fuente caliente entrega una cantidad de calor Q1. Una parte Q2 de ese calor pasa espontáneamente a la fuente fría. La diferencia Q1 - Q2 se transforma en energía mecánica. No es posible transformar la cantidad de calor Q1 en trabajo, sin que parte de ese calor pase a una fuente fría.
Esquemáticamente podemos representar el proceso indicado así:
Se llama rendimiento η de la máquina térmica a la relación entre el trabajo mecánico realizado W y la cantidad de calor Q1 entregado por la fuente caliente.
En general ese rendimiento no llega al 40%.
Por lo expuesto es η < 1, por cuanto no es posible construir una máquina térmica que entregue trabajo mecánico solamente enfriando una fuente caliente.
En el motor del automóvil, el calor que no se ha trasformado en energía mecánica, se calienta el agua de refrigeración, la que a su vez entrega calor a la atmósfera, enfriándose en el radiador, para volver al motor, repitiéndose el ciclo.
Si quieres conocer otros artículos parecidos a MÁQUINAS TERMICAS puedes visitar la categoría Fisica.






Deja un comentario