BETA DEL TRANSISTOR BJT

¿QUE ES EL BETA DE UN TRANSISTOR?
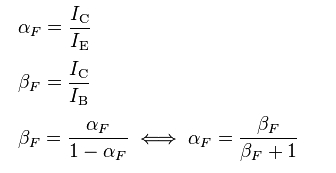
El parámetro Beta de un transistor bipolar o BJT nos indica la eficiencia del transistor, relacionando la corriente de colector con la corriente de base, cuanto mayor es el numero de Beta mas eficiente es el transistor, es decir que con una corriente de base pequeña es capaz de entregar una corriente de colector grande (ganancia de corriente del transistor), en algunos libro se lo suele encontrar como hfe que también se refiere a la ganancia pero analizada desde los parámetros H de teoría de cuadripolos.
Existe otro parámetro conocido como el Alpha del transistor, y hace referencia a la relación entre la corriente de colector y la corriente de emisor, cuanto mas cercano a uno sea esta relación menor perdida entre los terminales tendrá el transistor, Las ecuaciones son las siguientes.

Tanto el Beta como el Alpha del transistor son datos que nos otorga el fabricante en la hoja de datos del componente, a la hora de comprar un transistor se supone que tenemos conocimientos de que características tiene que tener el transistor que necesitamos. En el caso que desconfiemos del fabricante y queramos medir nosotros mismos el Beta y el Alpha del transistor tenemos que responder la siguiente pregunta.
¿COMO MEDIR EL BETA DE UN TRANSISTOR?
Para responder esta pregunta simplemente tenemos que seguir los siguientes pasos.
- Identificar los terminales del transistor B = Base / E = Emisor / C = Colector.
- Configurar el multímetro para medir el Beta del transistor girando la perilla para que apunte a Beta o HFE.
- Colocar las patas del transistor (Base/Emisor/Colector) en el multímetro digital, generalmente tiene un toma para insertarlo directamente.
- Leer el valor del Beta que muestre el multímetro en pantalla, un rango normal es entre 100 y 500 para transistores de baja señal, si el valor de lectura obtenido es muy bajo es probable que el transistor este quemado.
A la hora de trabajar con transistores no podemos pasar por alto estos parámetros, según el proyecto que estemos trabajando vamos a necesitar uno con unas características y otros con otras, abajo dejo algunos enlaces donde se explica con un poco mas de detalles los conceptos básicos y demás.
ENLACES RELACIONADOS
Transistores bipolares
Transistor bipolar BJT - Análisis en continua
Conceptos básicos transistores bipolares BJT
Si quieres conocer otros artículos parecidos a BETA DEL TRANSISTOR BJT puedes visitar la categoría Electronica.
Deja un comentario
Great post.