CAÍDA LIBRE Y TIRO VERTICAL - EJERCICIOS RESUELTOS

La mejor forma de aprender a resolver ejercicios de cinemática es practicando, hacer todos los ejercicios que podamos hasta dominar por completo el concepto, claro esta que lo importante en todo esto es tener claro la teoría y saber utilizar las formulas que existen, antes de comenzar a resolver los ejercicios veamos un resumen de las formulas que vimos en el articulo anterior ver caída libre y tiro vertical
FORMULAS CAÍDA LIBRE
FORMULAS TIRO VERTICAL
En el articulo caída libre y tiro vertical comentamos que el signo menos es por que en un cuerpo que es arrojado hacia arriba la aceleración hace un efecto de frenado de manera que su aporte en la velocidad del cuerpo es negativa.
Las siguientes ecuaciones son un caso particular, cuando el objeto alcanza la altura máxima, es decir que su velocidad final es cero, en ese instante el cuerpo comienza su descenso a la tierra.
Como se puede ver, el tiempo en alcanzar la altura máxima depende solo de la velocidad con que se arroje el cuerpo hacia arriba (velocidad inicial) y la gravedad de la tierra.
[anuncio_b30 id=3][anuncio_b30 id=4]
EJEMPLOS EJERCICIOS RESUELTOS
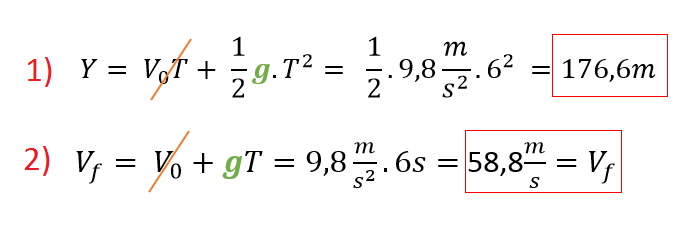
EJERCICIO 1
Supongamos que se deja caer un cuerpo desde una altura desconocida, después de transcurridos unos seis segundos el objeto toca el suelo.
- ¿Desde que altura se soltó el objeto?
- ¿A que velocidad llego al suelo?
RESOLUCIÓN
Veamos los datos que tenemos
- V0 = 0, la velocidad inicial del cuerpo es cero, es cuando comienza la caída.
- T = 6s, tarda seis segundo en tocar el piso
Ahora apliquemos las formulas de caída libre.
Como podemos ver este ejercicio es sencillo, pero útil para ir afianzando conceptos, por ejemplo que como la aceleración es creciente se la considera con signo positivo.
EJERCICIO 2
Se deja caer una pelota desde la punta de un edificio de 40 metros de altura, supongamos que no existe la resistencia del viento.
- ¿Cuanto tardo la pelota en llegar al piso?
- ¿Con que velocidad llego?
RESOLUCIÓN
Veamos los datos que tenemos
- V0 = 0, la velocidad inicial del cuerpo es cero, es cuando comienza la caída.
- Y = 40 metros
[anuncio_b30 id=3]
EJERCICIO 3
Supongamos que arrojamos una piedra hacia arriba, ¿a que velocidad la tenemos que lanzar para que alcance una altura máxima de 32 metros?
RESOLUCIÓN
Veamos los datos que tenemos
- Vf = 0, la velocidad final es cero por que el proyectil alcanzo la altura máxima.
- Y = 32 metros
Acá aparece una tercera ecuacion, la que esta enmarcada en verde, esta ecuacion nos relaciona las velocidad con las distancias de manera directa.
Como pudieron ver, estos primeros tres ejercicios son simples, pero lo importante es afianzar los conceptos para luego poder resolver cualquier tipo de ejercicio de caída libre y tito vertical.
Mas adelante voy a subir mas ejemplos de diferentes dificultades.
REFERENCIAS
- Libro FISICA 1 “Mecanica calor y acustica”de Carlos R.Miguel
Si quieres conocer otros artículos parecidos a CAÍDA LIBRE Y TIRO VERTICAL - EJERCICIOS RESUELTOS puedes visitar la categoría Fisica.
-
-
Difícil que alguien lance una piedra 32 metros! 8 normal, 10 quiza, a lo sumo 12.
-
En mi humilde opinión, creo que intentar llevar a la realidad casos hipotéticos no tiene ningún fin. Es verdad que en importante poder trasladar a la realidad los conocimientos, pero el uso de ejercicios con datos exagerados ayuda a fortalecer la metodología a usar, y creo que ese es el fin de esta publicación. Además, en los certamenes, pruebas, exámenes o como quieras denominar a las evaluaciones académicas aparecerán situaciones aun más descabelladas con el único propósito de hacer caer a los alumnos en distracciones. Es bueno siempre mantener un criterio al momento de comentar y darse cuenta de la intención de la publicación.
Muchas gracias.
-
SOY BRUTO NO SE NADA DE ESO
-
-
creo que no practicaste beisbol....
-
Jamás se dijo el como! pudo ser una resortera... cuestiona sin argumento, mejor dedique el tiempo quémala a comentar en razonar un poco, saludos.
-
-
dime 3 porfavor el primero
se suelta un objeto desde lo alto de un edificio de 180m de alto calcular el tiempo que tarda en llegar al piso
segundo
de la pregunta anterior calcular la velocidad con la que llega al piso velocidad final
tercero y ultima
si se suelta un objeto desde cierta altura, calcular su velocidad al cabo de 20sg -
El caballo se llama viernes... :'v
-
Que significa la letra "Y"
-
una pregunta el ejercicio 3 si esta bien resuelto
-
Hola el ejercicio 1 la altura no es 176,6 es 176,4 eso nomás jaja
-
CREO QUE NO PRACTICASTE BEISBOL..
-
Hola, me podrías ayudar con este ejercicio por favor:
Se lanza una pelota verticalmente hacia arriba desde la azotea de un edificio. al bajar una vez pasa por la azotea y pasa por un punto 50m abajo de su punto de partida a transcurrido 5 segundos desde el instante en que fue lanzado
a) ¿cuál es la velocidad inicial de la pelota?
b) ¿qué altura alcanza sobre su punto de lanzamiento? -
El ejercicio 3 debería ser la gravedad en negativo, no?, porque es tiro ascendente y no caída libre.
-
De Que Altura Es Liberado Un Cuerpo Si Se Sabe Que En Su Último Segundo De su Movimiento , Recorre 35 m ..??
Alguien Una ayuda Por Fa -
Por Favor su ayuda con el siguiente ejercicio.
*- Desde un puente de 15 m de altura se lanza una esfera verticalmente hacia arriba con una velocidad inicial de 10 m/sal llegar a la base del puente se sumerge en una laguna que le proporciona una des-aceleración de 0.5m/s2. si el tiempo total empleado desde el momento de su lanzamiento hasta hasta que llegue al fondo de la laguna es 6s cacular la profundidad del lago?Gracias
-
51m
-
-
hola nos podes ayudar con un problema . un hombre lanza un ladrillo hacia arriba con una velocidad inicial de 41 desde el piso. despreciando la resistencia del aire a) El tiempo que demora en alcanzar la altura máxima
b) velocidad y signo de la velocidad que retorna a sus manos c) tiempo transcurrido cuando el ladrillo a recorrido una altura de un h: 1/3 de altura -
Un objeto tardó 5 segundos al caer libremente desde la azotea de un edificio. ¿Cuál es la altura desde la que se dejó caer?,
-
¡Hola! gracias por explicar de una manera sencilla la caída libre, me sirvió mucho.
Tengo una duda ¿Puedes responderla? si solo tengo velocidad inicial y me piden altura, velocidad final y tiempo ¿con qué operación la puedo resolver?
Gracias de nuevo.-
puedes resolverla así: Altura=9,8xtiempo elevado a 2 y todo eso partido en 2
-
supuesta velocidad inicial 20 m/s
V^2 = 2 * g * h
20^2 = 2 * 9,8 * h
400 = 19,6 h
h = 400 / 19,6 = 20,41 m
-
-
Solo dejaré este comentario por lo agradecido que estoy con este sitio web ya que hay una explicación muy clara y es mejor que las explicaciones de mi profesor enserio gracias
-
Muy buena explicación!!
-
Hola, necesito si me podes brindar las fórmulas que se utilizan para cada tiro, te agradecería un montón.
-
hola soy de Argentina y las siglas no son las mismas pero entendi los conceptos y muchas gracias por la explicacion porque justo hoy aca llovió y no me pude juntar a estudiar con mi tutor justo este tema que me habia quedado en el aire asi que muchas gracias , si mañana apruebo es gracias a vos crack un saludo .
-
Necesito resolver el siguiente problema urgente
Desde el nivel de la planta baja de un edificio se lanza verticalmente hacia arriba una piedra A con una velocidad de 20 m/s. Simultáneamente desde un balcón a una cierta altura h respecto de la planta baja de mismo edificio, se lanza otra piedra B verticalmente hacia arriba con una velocidad de 15 m/s. Si ambas piedras se encuentran cuando la piedra A alcanza su altura máxima. Determinar:
A) La altura h de la cual partió la piedra B.
B) ¿Qué velocidad tiene la piedra A en el instante en que la piedra B llega al piso?Muchas gracias
-
e verdad xd
-
En épocas de carnavales se dejan caer bombas con agua desde una altura de 190m calcular
A:la rapidez que lleva a los 3segundo del movimiento
B:la altura que se encuentra en el suelo en ese momento -
Hola yo tengo una pregunta ¿cual puede ser la formula para determinar la velocidad inicial?
Gracias por la atencion
Deja un comentario





quiero dejar este comentario,ya que el miercoles rindo fisica, y me pase toda la noche buscando en la wb tutoriales y este es el mejor que e hallado,bien explicado,mejor que mi profesor jaja. excelente! si lo apruebo sera gracias a este tutorial, muchas gracias y sigan subiendo! saludos